Обработка садово-огородных культур
Малатион действенно борется с мухами, плодожорками, пяденицами, клещами, тлей. Также его хорошо применять против таких вредителей, как:
- белокрылка,
- долгоносик,
- щитовка и ложнощитовка,
- совка,
- червецы
- белянки,
- моль,
- листовертка
- малинный жук,
- огневик.
Препарат «Фуфанон» по-разному используется при обработке культур, выращиваемых в защищённом и на открытом грунте. Например, огурцы, растущие в закрытом, грунте обрабатываются только один раз, томаты – не более трёх. Для открытого грунта обработку производят не более двух раз. Урожай собирается в среднем через 20 дней после последней обработки.
Растения опрыскивают в безветренную погоду, вечером или утром. Раствор должен полностью смачивать листья, но не стекать с них при этом. Действие малатиона сохраняется несколько суток после обработки (от 7 до 10 дней, но по некоторым отзывам – даже до двух недель). Вредители начинают погибать уже в течение первых суток после обработки.
У меня большой садовый участок, вручную с вредителями бороться невозможно. Два года назад начал пользоваться «Фуфаноном» в ампулах. Результатом очень доволен. Разводится просто, применяется легко, все написано на этикетке. Ранней весной опрыскал весь сад. Из вредителей никто не выжил. Рекомендую всем – эффективнейшее средство!
Алексей Н.
Опрыскивают вечером или утром в безветренную погоду, полностью смачивая листья, но не доводя до того, чтобы раствор стекал. На протяжении нескольких суток после обработки держится период защитного действия. Расход составляет:
- 1 л на 10 кв. м при обработке капусты от тли, клопов, мух, белянок, моли, совки;
- от 1 до 1,5 л на 1 куст при обработке смородины и крыжовника от тли, почковой моли, щитовки, листовёртки, на 10 кв. м посадок перцев и огурцов от тли, паутинного клеща, трипса, ростковой мухи;
- от 1 л до 3 на 10 кв. м при обработке помидоров от тли, белокрылки, паутинного клеща;
- 1,5 л на 10 кв. м при обработке цветочных культур, роз и других кустарников от тли клеща, паутинного клеща, трипса, розанного пилильщика;
- 2 л раствора на 10 кустов ежевики и малины при обработке от клеща, малинного жука, долгоносика, тли;
- от 2 до 5 л на 1 дерево/куст при обработке цитрусовых, винограда и таких садовых деревьев, как черешня, вишня, груша, слива, яблоня, айва и т. п. от червецов, клещей, белокрылки, паутинного клеща, листовёртки, плодожорки, клеща, щитовки, пилильщиков, долгоносиков, вишнёвой мухи.
Самое большое количество раствора «Фуфанона» требуют земляника, клубника, дыня и арбуз – 5 л на 10 кв. м посадок при борьбе с паутинным клещом, пилильщиками, белокрылкой, долгоносиком, бахчевой коровкой, дынной мухой, тлей, клещом.
Основные меры предосторожности
Специалисты обращают внимание на то, что обрабатывать растения можно только в очках, перчатках и респираторе. Во время приготовления эмульсии нельзя курить, употреблять продукты питания и пить. Когда процедура окончена все открытые участки тела необходимо тщательно вымыть под протечной водой с мылом
Обязательно прополаскивается ротовая полость, а вещи меняются. Если препарат каким-то образом попал в рот, тогда нужно выпить несколько стаканов чистой воды, принять активированный уголь или даже вызвать рвоту
Когда процедура окончена все открытые участки тела необходимо тщательно вымыть под протечной водой с мылом. Обязательно прополаскивается ротовая полость, а вещи меняются. Если препарат каким-то образом попал в рот, тогда нужно выпить несколько стаканов чистой воды, принять активированный уголь или даже вызвать рвоту.
Если у вас появилось головокружение, неприятный привкус во рту, сильная головная боль, обильное слюноотделение, тошнота или даже рвота, тогда нужно срочно принять меры и обратиться за помощью к врачу. Если раствор попал на кожу не стоит пытаться вытереть его, нужно просто чем-либо смахнуть (к примеру: ватой) и только после этого вымыть тот участок с мылом.
https://youtube.com/watch?v=kP277ZbkMikhttps%3A
Фуфанон — это сильное, умеренно опасное средство, при работе с которым необходимо соблюдать все меры предосторожности. Срок его годности — 3 года с момента изготовления. После использования препарата пустую ёмкость нужно сжечь, запрещено выбрасывать её на помойку или в водоём
Пульверизатор тщательное моется. Работать с раствором можно не дольше трёх часов
После использования препарата пустую ёмкость нужно сжечь, запрещено выбрасывать её на помойку или в водоём. Пульверизатор тщательное моется. Работать с раствором можно не дольше трёх часов.
https://youtube.com/watch?v=DqReB-q1eSAhttps%3A
Хранить инсектицид можно при температуре от -30⁰С до +30⁰С в сухом месте. Препарат должен стоять вдали от продуктов питания и медикаментов. Доступ к нему для детей и живот должен быть перекрыт. Пестицид можно использовать только в свежеприготовленном виде, так как по истечении определённого промежутка времени его свойства теряются.
Фуфанон — это уникальное средство, на которое можно положиться. Многочисленные положительные отзывы о нём подтверждают его эффективность в борьбе с садово-огородными вредителями и домашними паразитами, в том числе и постельными клещами. Главное, помнить, что добиться положительного результата можно только в том случае, если соблюдать инструкцию по применению и дозировку для каждой культуры.
На нашей даче длительное время кусты крыжовника были просто облеплены какими-то паразитами, точное их название я не знаю. Боролись народными методами, но ничего так и не помогала. В магазине посоветовали приобрести Фуфанон. Дома мы приготовили раствор согласно инструкции, начали ежедневно опрыскивать каждый куст. Буквально на третий день насекомые пропали, нашей радости не было придела. Но через 3 недели они снова появились на нашем участке. Мы снова стали все опрыскивать и они исчезли. В этом году обязательно будем использовать этот инсектицид, но уже Фуфанон-супер.
Никита
Ежегодно используем Фуфанон-нова для опрыскивания фруктовых деревьев, кустарников и молодой рассады. Средство очень эффективное и безвредное для человека. Единственный нюанс — разводим средство вместе с моющим. Отличный эффект получается, погибают все насекомые и даже муравьи, которые норовят нанести вред растениям.
Ирина
Впервые с инсектицидом Фуфанон К. Э. я столкнулась тогда, когда на нашем винограднике появился клещ. Раньше с такими вредителями я просто не сталкивалась, поэтому изначально не знала что можно сделать. На сайте садоводов мне порекомендовали именно это средство. Хватило всего двух опрыскиваний, чтобы клещ исчез. Теперь этот препарат у меня всегда под рукой.
Марина
Как применять Фуфанон для обработки от клопов
Для домашней обработки от клопов, конечно, не к чему специально приобретать пятилитровую канистру или литровую бутылку эмульсии средства. Это просто невыгодно. Однако, если вы или ваши родственники используете «Фуфанон» на даче для обработки растений, вполне можно приготовить рабочий раствор для бытовой дезинсекции, позаимствовав небольшое количество препарата
Тем более что водные эмульсии отличаются немаловажной характеристикой — меньше пахнут
Приготовление рабочего раствора
В инструкции к препарату расписаны особенности использования для борьбы с разными типами вредителей. Для проведения обработки от клопов есть свои рекомендации.
- Чтобы приготовить литр рабочего раствора для обработки помещения от клапов понадобиться всего 3,5 мл средства «Фуфанон-супер».
- Используйте воду комнатной температуры.
- Для точности концентрации сначала вылейте из литровой бутылки 3,5 мл воды, а затем добавьте эмульсию.
- Для смешивания используйте одноразовую тару, например пластиковую бутылку. После использования бутылку необходимо сразу утилизировать.
- Расход рабочего состава: одного литра хватит на обработку поверхностей площадью 10 кв. м.
Если же вы не дачник и не садовод (и их нет в вашем ближайшем окружении) лучше приобрести «Фуфанон-нова» в ампуле и приготовить рабочий водный раствор, следуя указаниям инструкции.
Используйте всё содержимое упаковки, оставлять остатки бессмысленно и небезопасно
Основные правила обработки
Обработка приготовленным составом обычной концентрации проводится методом орошения, распыления. Для этих целей подойдет стандартный пульвилизатор, можно также аккуратно разбрызгать раствор с помощью мягкой малярной кисти.
Осторожнее с пульверизатором. Он создает мелкодисперсные частицы капель раствора, которыми с легкостью можно надышаться даже через повязку
Главное, это обработать «правильные места» — излюбленные клопами участки:
Щели и трещины плинтусов по всему периметру комнаты.
Участки стен с отклеивающимися обоями.
Подоконники с внутренней стороны, область возле радиаторов, вентиляций и другие труднодоступные места.
Мебель следует обрабатывать с осторожностью. Наносите раствор исключительно на задние стенки шкафов, тумб, подвесных полок
Мягкую мебель обработайте с внутренней стороны по поверхности; пройдитесь кистью по механизмам крепления и местам соединения деталей.
После обработки лучше покинуть помещение на несколько часов. В дальнейшем необходимо провести влажную уборку мыльно-содовым раствором и хорошо проветрить помещение (не менее 30 минут). Эффект от действия препарата сохраняется на протяжении месяца, поэтому при необходимости повторно проводить опрыскивание раствором следует не раньше чем через 4–6 недель.
Меры безопасности
«Фуфанон»— не самый безопасный химический препарат. По токсичности для человека он относится к третьему классу. А из-за своих фумигационных свойств может быть особенно опасен при вдыхании
Поэтому очень важно соблюсти все меры предосторожности во время приготовления раствора, в ходе обработки и последующей уборки:
- При работе с «Фуфаноном» позаботьтесь о средствах защиты: перчатки для рук; очки для глаз; повязка или маска для органов дыхания.
- Во время обработки обеспечьте свободную циркуляцию воздуха — откройте окна и форточки.
- Не допускается присутствие людей и домашних питомцев во время потравки вредителей.
- Запрещается курить, принимать пищу и напитки в процессе работы с рабочим раствором.
- После проведения работ тщательно вымойте руки и прополощите рот.
- Не стоит забывать о средствах защиты и во время уборки.
- Не храните раствор, слейте в канализацию.
- Одежду, в которой проводили обработку постирайте в мыльно-содовом растворе (50 г мыла; 50 г. соды на 10-литровое ведро горячей воды).
Малатион быстро разрушается при добавлении щелочи. Поэтому щелочные растворы, в частности мыльные, могут быть использованы для обезвреживания предметов домашнего обихода после обработки
Будьте осторожны, и при наличии следующих симптомов отравления незамедлительно обратитесь к врачу:
- першение в горле, Неприятный химический привкус во рту;
- обильное слюнотечение;
- тошнота и рвота;
- головная боль;
- боль в животе;
- сужение зрачков.
Как проводить обработку помещения
Фуфанон относится к препаратам, имеющим среднюю степень токсичности (III класс), а значит работать с ним нужно в индивидуальных средствах защиты. Перед тем как приступать к изготовлению раствора, нужно надеть резиновые перчатки, закрытый костюм и респиратор. На теле не должно остаться ни одного открытого участка кожи.
Сделайте в помещении влажную уборку, помойте полы и пропылесосьте ковры и мягкую мебель. Не забудьте оповестить об обработке соседей.
После того как все приготовления завершены можно приступать к приготовлению раствора.
Обработка Фуфаноном от клопов должна проводиться в строгом соответствии с предписаниями инструкции и соблюдением правил личной безопасности. Дезинсекционные работы необходимо осуществлять в специальном защитном костюме с длинными рукавами, в перчатках и головном уборе. Наличие респиратора и очков позволит защитить дыхательные пути и глаза от ядовитых испарений.
Работать со средством можно при помощи пульверизатора или же широкой малярной кисти. После завершения процедуры помещение следует покинуть, окна и двери плотно закрыть. В таком состоянии оно должно оставаться в течение суток. Спустя указанное время, квартиру следует хорошо проветрить, чтобы улетучился неприятный запах.
Перед обработкой жилья от клопов надо убрать из дома животных и детей
Обратите внимание, убрать из квартиры рекомендуется даже рыбок и земноводных. Также потребуется переместить все продукты питания в герметично закрывающийся холодильник.Тщательно обработайте с помощью пульверизатора все поверхности, закройте дом и оставьте его на двое суток. Все окна и форточки в помещении должны быть плотно закрыты для достижения максимального эффекта
Все окна и форточки в помещении должны быть плотно закрыты для достижения максимального эффекта.
https://youtube.com/watch?v=L_hOa3MxHKo%3Ffeature%3Doembed
По истечению 48 часов, протрите все поверхности содовым раствором и проветрите помещения в течение нескольких часов.
При работе с препаратом запрещается:
- пить,
- курить,
- принимать пищу,
- протирать глаза или тереть лицо.
В случае попадания средства на кожу, надо срочно промыть её водой с содой. При попадании препарата в глаза, их надо тоже тщательно промыть проточной водой.
Работать с Фуфаноном лучше в резиновых перчатках, респираторе и специальной рабочей одежде. После обработки дома рекомендуется принять душ и тщательно постирать вещи в которых вы были одеты при высокой температуре.
При работе с препаратом очень важно соблюдать следующие меры предосторожности:
- В обрабатываемом помещении не должны находиться люди, домашние животные (а также рыбы, птицы) и комнатные растения, окна при этом рекомендуется держать открытыми – препарат токсичен и имеет сильный специфический запах.
- Пользоваться обработанными помещениями можно только по истечении суток после дополнительной обработки содовым раствором (250-300 г на ведро воды) и последующей генеральной уборки с проветриванием.
- Приготовление средства и проведение дезинфекции обязательно проводятся с применением средств индивидуальной защиты: комбинезон или халат, х/б косынка, фартук и нарукавники из прорезиненного материала, резиновые перчатки, герметично прилегающие к лицу защитные очки.
- Запрещено пить и принимать пищу, а также курить в обрабатываемом помещении.
В случае появления после проведения обработки неприятного привкуса во рту, рвоты, головной боли или рези в животе необходимо выйти на свежий воздух, снять загрязнённую одежду, затем прополоскать ротовую полость 2 % раствором соды или обычной водой, в особо тяжелых случаях – обратиться к врачу.
При попадании препарата в глаза необходимо промыть их большим количеством холодной воды, при возникновении болей закапать 2% раствор новокаина и немедленно обратиться к специалисту.
Если в процессе обработки помещений Фуфаноном против клопов и других вредителей препарат попал на кожу, пострадавший участок следует немедленно промыть большим количеством воды с мылом.
https://youtube.com/watch?v=gtGpCw8WAzA%3Ffeature%3Doembed
Данное средство по праву считается одним из самых мощных и эффективных инсектицидов, имея при этом довольно низкий расход. Какова же цена на этот чудодейственный препарат и где купить Фуфанон для избавления от клопов и других насекомых-паразитов?
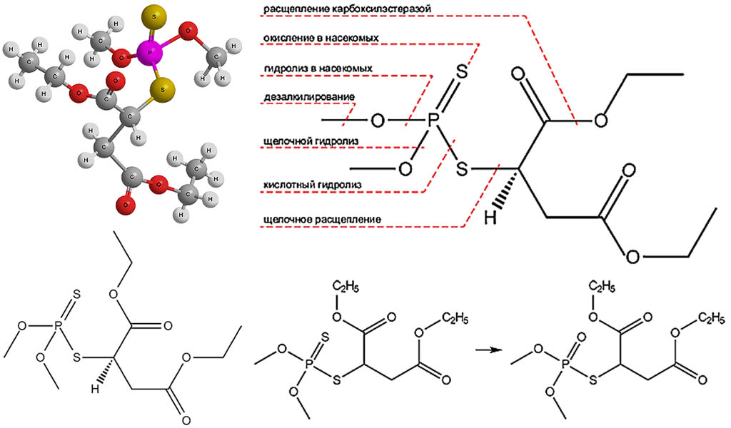
Химическое строение и действие
Химически карбофос – эфир дитиофосфорной кислоты, т.е. в его составе есть активная сера. Этим обусловлено повышение активности препарата при температуре выше +25 градусов Цельсия.
Структурная формула карбофоса (малатиона) и ее пространственная модель приведены слева на рис. Чистый малатион – бесцветная маслянистая жидкость с противным запахом, облепляющая поверхность определенного рода лучше подсолнечного масла и делающая ее не смачиваемой. Именно поэтому малатион первоначально нашел применение во флотации руд.

Химическая формула и схема действия карбофоса
Чистый малатион не очень токсичен и легко нейтрализуется слабыми щелочами (напр., раствором кальцинированной соды). Но его растворимость в воде (145 мг/л) достаточна для получения выраженного контактного действия на вредителей, а хорошая растворимость в органических растворителях усиливает проникновение вещества в организм грызущих и сосущих насекомых. Когда они питаются, то неизбежно вымазываются соком растений, а в нем всегда есть альдегиды, спирты, кетоны и др. вещества, в которых малатион растворяется хорошо.
В организме вредителя малатион, во-первых, расщепляется по схеме вверху справа на рис. на очень токсичные эфиры тиоянтарной и фумаровой кислот и соль диметилтиофосфорной кислоты. Защитные и пищеварительные ферменты объекта поражения в этом случае оказывают ему медвежью услугу. Получить эти яды в лаборатории сложно, они очень опасны для всех животных и на воздухе быстро распадаются. А так – вредитель сам себе готовит смертельную отраву из средне токсичного сырья.
Во-вторых, если вредитель насекомое, в его организме в определенных условиях происходит специфическая реакция гидролиза малатиона по схеме внизу справа на рис. Ее продукт – малаоксон – для насекомых еще более сильный и стойкий яд. Этим объясняются разные сроки защитного действия Фуфанона в различных случаях: на клещей на открытом воздухе 5 суток, на насекомых там же 7 суток, а в помещениях, где освещенность слаба и суточные колебания температуры невелики, до 21 суток.
Три конца одной палки
Малаоксон для насекомых не только яд, но и мутаген. Среди выживших мутантов оказываются устойчивые и к малатиону, и ко всем ФОС. В таком случае извести резистентную популяцию на 100% можно, только оставив землю под паром на 2-3 года и применяя профилактические обработки пестицидами на другой химической основе: карбаматами, пиретроидами, неоникотиноидами.
До недавнего времени считалось, что продукты распада карбофоса в теплокровных мало токсичны и не повреждают их ДНК. Но в последние годы выявлено, что в определенных условиях при этом образуется и некоторое количество малаоксона, и дитиофосфат, высокотоксичный для позвоночных.
Вывод отсюда следует тривиальный для всех пестицидов: не превышайте дозировок и не экспериментируйте самостоятельно с регламентами применения!
Пошаговая инструкция по применению
Чтобы средство дало ожидаемый результат, необходимо четко следовать указанной на упаковке инструкции. Без изучения этой информации приступать к работе с инсектицидом запрещено. Пренебрежение защитными мерами может стать причиной ухудшения состояния здоровья.
Основные симптомы отравления — резкий упадок сил, тошнота, рвота и сильные головокружения. В такой ситуации нужно выйти на свежий воздух, принять сорбент, дождаться приезда врача. Чтобы избежать негативных последствий, тщательно подготовьтесь с ликвидационной операции.
Подготовительные мероприятия
Первое, что вам предстоит сделать в перечне подготовительных мероприятий, — это так называемая «разведка боем». Хорошо, если вы будете точно знать места скопления клопов. Для этого отодвиньте от стен всю корпусную и мягкую мебель, проверьте самые труднодоступные места на наличие хитиновых оболочек и продуктов жизнедеятельности этих отвратительных насекомых. Не заметить гнездо невозможно: оно производит впечатление лишайного, неопрятного места, к которому не хочется прикасаться, рядом с которым неприятно находиться рядом.
Генеральная уборка. Перед дезинсекцией необходимо «прогенералить» квартиру. Сперва нужно пройтись по напольным поверхностям пылесосом. После — помыть полы без применения бытовой химии. Важно минимизировать количество пыли в помещении, проветрить его, чтобы циркулирующий воздух помог в начатом деле, разнес частицы яда даже в самые отдаленные места квартиры.
Упаковка продуктов и вещей. Все продукты питания необходимо убрать в холодильник или шкаф. Мелкие вещи стоит по максимуму вынести из квартиры. Если сделать это невозможно, прибегните к упаковке вещей в полиэтиленовую пленку. Это защитит от проникновения отравы внутрь.
Техника безопасности
На втором этапе, за шаг до дезинсекции, вам стоит позаботиться о своей безопасности. В этом вам помогут следующие атрибуты:
защитные очки — обезопасят органы зрения от попадания отравы;
халат или комбинезон — защитят тело и повседневные вещи от проникновения яда в ткань;
резиновые перчатки — станут барьером между инсектицидом и вашей кожей;
респиратор — необходим для защиты дыхательных путей.
Домашние питомцы и домочадцы должны покинуть семейное гнездо до начала дезинсекции. Комнатные цветы также нужно вынести. Если в доме есть террариум или аквариум, поверхность сосуда необходимо закрыть плотным картоном или деревянной заслонкой, чтобы химикат не проник в воду.
Приготовление раствора и обработка
Для разведения препарата возьмите любую емкость, имеющую непищевое назначение, и следуйте инструкции, представленной в виде таблицы.
Таблица — Как разводить «Фуфанон»
| Вредители | Кол-во инсектицида, мл | Кол-во воды, мл | Расход готового раствора, мл/м2 |
| — Клопы; — муравьи; — блохи | От 1,5 до 3,5 | 1000 | 50 |
| — Мухи; — тараканы | — 9; — 11 | 1000 | 100 |
Химикат, расфасованный по ампулам, разводят иначе. Для этого одну ампулу объемом 5 мл выливают в объемную емкость, добавляют туда же 5 л воды. В некоторых источниках указано, что готовый раствор можно наносить с помощью широкой малярной кисти. Однако наиболее комфортным считается распыление препарата при помощи опрыскивателя или пульверизатора. При дезинсекции следует руководствоваться следующими рекомендациями.
Обработка по периметру. Сперва опрыскиваются стены помещения, затем — плинтуса и пространство под ними. После — тыльная сторона корпусной и мягкой мебели.
Тайники «в фокусе». Клопы отлично играют в прятки с людьми, поэтому отыскать места их дислокации бывает непросто. Проверьте щели, загляните за отслоившиеся и свисающие со стены обои, залезьте под кровать, снимите со стены картину и взгляните на ее обратную сторону — ни один тайник не должен остаться незамеченным.
Мебель и одежда. Мягкая мебель, как правило, обрабатывается только снизу. Если есть необходимость опрыскивания мягкой части дивана или кресла, а также аналогичная необходимость обработки других вещей, после дезинсекции их нужно подвергнуть химчистке или стирке в воде при высокой температуре.
Мороз в помощь. Если дезинсекция проводится зимой, и на улице стоит трескучий мороз, мебель и некоторые вещи можно вынести на свежий воздух, оставить на пару дней. Понижение температуры до −30оС является смертельным для кровопийц. Как и ее повышение до 50оС.
Плюсы и минусы препарата
Производителем средства заявлен третий класс опасности. Его качественные характеристики помогают в одно мгновение уничтожать паразитов в доме и надолго устраняют проблему. Потребителями и собственно производителем были выделены следующие плюсы данного препарата против клопов:
- Уникальная химическая формула, которая помогает эффективно бороться с неприятными соседями
- Крайне низкая сопротивляемость организма паразита к фосфорорганическому веществу, которое входит в состав средства.
- Препарат быстро и легко испаряется, что влияет на его проникновение к труднодоступным местам. Микроскопические частицы настигают паразитов и долгое время отпугивают других насекомых от обработанного места.
- Температура и ее перепады не сказываются на качестве средства и его воздействии на насекомых
- Препарат можно использовать в комбинации с любым другим инсектицидом, чтобы усилить общий эффект. Но существуют некоторые ограничения: лучше отказаться от применения средств, которые обладают щелочной реакцией и состоят из серы, меди и сульфидов.
- Приобрести средство можно по доступным ценам.
У препарата есть и недостатки, которые связаны с определенной токсичностью и повышенным риском отравления человека в случае неправильного пользования. Помимо этого, помещение может потребовать повторной обработки.
Характеристика препарата
«Фуфанон», будучи разработкой датских ученых, инновацией не является. В его основе лежит карбофос, открытый еще в начале 50-х годов прошлого века — сперва американцами, а чуть позже — советскими учеными, которые проделали сложнейшую самостоятельную работу, шагая в ногу с коллегами из США. Малатион и карбофос — это два названия одного вещества. Второе название больше прижилось на постсоветском пространстве, а потому звучит более привычно для нашего уха. В целом, под разными именами скрывается одно и то же органическое соединение.
Разновидности
На прилавках супермаркетов, садовых центров и магазинов бытовой химии можно встретить две разновидности обсуждаемого инсектицида: «Фуфанон-Нова» и «Фуфанон-Супер». Основное различие кроется в процентном соотношении действующего вещества, а, следовательно, и в назначении отравы. Какое количество малатиона содержит та или иная форма «Фуфанона», и для чего она применяется, расскажет таблица.
Таблица — Разновидности средства «Фуфанон»
| Разновидность | Концентрация малатиона, % | Область применения |
| «Фуфанон-Нова» | 44 | Обработка сельскохозяйственных культур |
| «Фуфанон-Супер» | 57 | Бытовая дезинсекция |
Основной вектор применения средства «Фуфанон-Супер» — бытовая дезинсекция — обусловлен наличием в составе дополнительных ингредиентов. Они безопасны для теплокровных существ, но при этом продлевают остаточное действие основного яда. «Фуфанон-Нова» также можно использовать от постельных клопов, уменьшив указанную на упаковке дозу воды при приготовлении раствора.

Принцип действия
«Фуфанон» имеет третью степень токсичности (для сравнения: самыми безвредными для человека и домашних животных считаются препараты с четвертой степенью). Однако синантропных насекомых средство убивает быстро и без промедления. Ликвидационный алгоритм приблизительно таков:
- контакт — «Фуфанон» смертельно опасен лишь для тех насекомых, которые контактируют с ним;
- преобразование — проникая в организм клопа, основное вещество преобразовывается в малаоксон;
- паралич — малаоксон парализует насекомое, препятствуя проведению нервных импульсов;
- смерть — через небольшой промежуток времени кровопийца умирает.
Препарат убивает даже яйца и личинки паразитов. Яд проникает в оболочку, разрушая ее, делая дальнейшее развитие насекомого невозможным.
Расфасовка
Обработка этим препаратом имеет неоспоримый плюс — пролонгированное действие, которого лишены популярные аналоги. Яд продолжает «работать» даже спустя две недели после распыления. Личинки, которым чудом удалось выжить, освободившись от оков оболочки, мгновенно получат свою порцию отравы. Доступные к покупке упаковки препарата и их приблизительная стоимость указаны в таблице.
Таблица — Расфасовка «Фуфанона» и примерная цена
| Упаковка | Объем, мл | Приблизительная стоимость, рубли (данные на январь 2018 года) |
| Ампула | 5 | 10 |
| Флакон | 10 | 500 |
| Канистра | — 1000; — 5000 | 700 |
Преимущества
Главный минус химического средства — неприятный запах, который частично остается в квартире, выветривается лишь со временем. Плюс — высокая эффективность, позволяющая ликвидировать полчище мелких оккупантов путем всего одной обработки. Но это преимущество — не единственное, есть и другие.
- Не вызывает привыкания. Особая формула препарата не вызывает резистентности у клопов, тараканов и других вредителей. Даже многократное применение яда на одной и той же площади возымеет высокий эффект. Насекомые не смогут выработать иммунитет к препарату и мутировать, а потому всегда будут подвержены его смертельному воздействию.
- Обладает фумигационным эффектом. Испаряясь, «Фуфанон» проникает даже в самые труднодоступные места. Он служит дополнительной защитой для комнатных растений, надолго остается своеобразным «отпугивателем», заставляющим клопов и прочую нечисть обходить ваш дом десятой дорогой.
- Не подвержен влиянию температур. В отличие от аналогов, датская разработка равнодушна к температурным колебаниям. Средство остается одинаково эффективным как на жаре, так и на холоде.
- Может комбинироваться с другими инсектицидами. Специалисты, знающие толк в сельскохозяйственных отравах, могут с легкостью соединить «Фуфанон» с другими ядовитыми «собратьями» с целью повышения эффективности средства в конкретных условиях.
«Фуфанон» не рекомендуется соединять с инсектицидами, имеющими в своем составе медь, сульфиды или серу.
Фуфанон: применение инсектицида
Этот препарат способен эффективно уничтожать большинство садовых и огородных вредителей.
Использовать Фуфанон нужно в следующих случаях:
- чтобы уничтожить «вредных» насекомых на садовых участках и огородных грядках;
- избавиться от клопов;
- уничтожить тараканов;
- слабый раствор средства используют для обработки одежды и комнат при появлении вшей;
- препарат также эффективен против клещей.
Современный биологический фунгицидный препарат:Триходермин Инсектицид Фуфанон эффективен против паутинных клещиков, долгоносиков, садовой моли, тли и ряда других вредных насекомых.
Важно знать!
Однако токсично средство Фуфанон и для полезных насекомых – пчел и шмелей, божьих коровок и ос-наездниц. Поэтому запрещено использовать Фуфанон во время цветения культурных растений (чтобы не гибли насекомые-опылители), а также в июне, когда происходит размножение божьих коровок.
Данный инсектицид не проникает глубоко в ткани растений, поэтому не является фитотоксичным. После произведенного опрыскивания Фуфанон защищает растения от вредителей в течение пары недель.
После того как насекомые съедают отравленную листву, через пару часов они прекращают есть, затем у них наступает паралич. Полная гибель вредителей происходит в течение 24 часов после произведенного опрыскивания.
Где купить фуфанон и его средняя цена
Фуфанон-Нова – это разновидность фуфанона, отличающаяся от него концентрацией действующеговещества. Фуфанон-Нова известен не только своим быстрым действием и высокой эффективностью, но и более низкой токсичностью и главное отсутствием сильного запаха, который характерен для обычного Фуфанона. Именно поэтому данный препарат пользуется большой популярностью для борьбы с клопами, так как его можно использовать в закрытом помещении. Выпускается этот препарат в совершенно разных видах: как в ампулах, так и в канистрах по 5 литров.
Фуфанон можно найти и купить в любом магазине для садоводов, где продаются яды и удобрения для сада и огорода. Вы можете найти Фуфанон во флаконах, ампулах и канистрах. В зависимости от этого будет и цена препарата. Цена этого препарата во флаконе — от 100 до 200 рублей, а канистру вы можете купить примерно за 3500 рублей.
В состав “Фуфанона” входят производные дитиофосфорной кислоты. Действующий компонент усовершенствованная форма малатиона – фосфорорганического соединения, применяемого для истребления насекомых-паразитов и дезинсекции помещений. Благодаря входящим в состав препарата различным отдушкам средство обладает менее резким запахом.
СПРАВКА: Препарат “Фуфанон” является аналогом популярного средства от клопов “Карбофоса”. Главным отличием является меньшая токсичность.
Формы выпуска:
- Ампулы, объёмом 5 мл,
- Флаконы, объёмом 10 мл,
- Канистры, объёмом 1 и 5 литров (для дезинсекции помещений с большой площадью).
Существует две концентрации раствора: 44 и 57%. Выбор концентрации обусловлен степенью зараженности помещения. Производит средство фирма “Кеминова-Агро” (Дания). Средства-аналоги остальных производителей – подделка. Средство можно приобрести в ветеринарных аптеках и магазинах бытовой химии.
Активное вещество малатион 440г/л и водная эмульсия.
Раствор имеет хорошо растворимую масляную структуру, светлого цвета, со слабым запахом, мутноватый. Его эффект продолжается в течение четырнадцати дней. «Фуфанон-нова» проникает в желудочно-кишечный тракт, парализует насекомое, и вредитель погибает. Срок годности препарата 3 года от даты производства.
https://youtube.com/watch?v=0g81M_aIyVQ%3Ffeature%3Doembed
Схожесть по компонентам и действию имеет препарат от клопов Карбофос.
«Фуфанон-нова» умеренно опасен для людей и животных (3 класс опасности), но очень опасен для рыб и пчёл
Препарат достаточно сильный, нужно очень осторожно им пользоваться, соблюдая все меры предосторожности, чтобы защитить своё здоровье, здоровье детей и любимых питомцев. Эксперты отзываются о препарате следующим образом:
Эксперты отзываются о препарате следующим образом:
- Иван Смирнов, дезинсектор: «При незначительном заражении помещения клопами и при самостоятельной борьбе с ними я бы посоветовал использовать менее агрессивное средство четвертого класса опасности. У Фуфанон-нова класс опасности выше, из-за чего риск отравления повышается. Препараты четвертого класса опасности менее вредны, не дают сильного воздействия при попадании на вещи и предметы. Но если вы решительно настроены раз и навсегда решить проблему, уверены в своих силах, то используйте Фуфанон-нова. Обязательно при этом используйте перчатки, респиратор, защитные очки и запаситесь терпением. Фуфанон-нова без запаха, эффективен и является хорошим средством в дезинсекции».
- Елена Гаврилова, специалист санэпидстанции: «При неоднократном использовании средства Фуфанон-нова у личинок и клопов может выработаться привыкание к компонентам препарата. Из-за чего практически невозможно будет избавиться от вредителей. Для того чтобы не возникало привыкания у клопов к препарату, следует Фуфанон-нова чередовать с другими средствами дезинсекции. Обработку проводить не чаще одного раза в месяц, а лучше вызвать специалистов».

За стандартный пакет средства 6,5 мл на 5 л воды цена колеблется от 20 до 27 рублей.



















































![Препарат фуфанон [инструкция по применению, когда обрабатывать]](https://vosadu-li-vogorode.ru/wp-content/uploads/b/e/1/be1aaf966168b07a029b13ddfcd565b1.jpeg)





